Academic Integrity: tutoring, explanations, and feedback — we don’t complete graded work or submit on a student’s behalf.

The link below has answers to the question please use it to check yourself: http

ID: 2046870 • Letter: T

Question

The link below has answers to the question please use it to check yourself:

http://i1057.photobucket.com/albums/t396/DODGEVIPER2013/answerstotherest.jpg

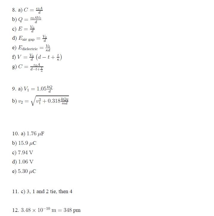
11. In separate experiments, four different particles each start from far away with the same speed and impinge directly on a fixed particle of charge Q 0. The masses and charges of the particles are particle 1: mass mo, charge go 0 particle 2: mass 2mo, charge 2go particle 3: mass 2mo, charge go/2 particle 4: mass mo/2, charge 2go Rank the particles according to the distance of closest approach to charge Q, from smallest to largest. HINT: Use energy considerations.) a) 1.2. 3.4 by 4. 3.2.1 c) 3. 1 and 2 tie, then 4 d) 4, 1 and 2 tie, then 1 e) 1 and 2 tie, then 3.4

Explanation / Answer

Initially energy is given as:

E1=Kinetic energy=0.5*m*v2

The particle will stop when the K.E will convert to Electric potential energy.

Electric potential energy =k*q/r

For 1st particle:

0.5*m*v2=k*q/r

Thus ,r=2kq/mv^2

Let kq/mv^2=p

r1=2p

For 2nd particle:

0.5*2m*v2=k*2q/r

Thus ,r=2kq/mv^2

r2=2p

For 3rd particle:

0.5*2m*v2=k*q/r2

Thus ,r=kq/2mv^2

r3=p/2

For 4th particle:

0.5*m/2*v2=k*2q/r

Thus ,r=8kq/mv^2

r4=8p

order is:

3rd particle<1st particle=2nd particle<4th particle